Antonio Ruiz de Elvira Serra
Catedrático de Física Aplicada
Universidad de Alcalá
Los seres humanos hemos almacenado la energía solar desde la primera revolución energética mediante las plantas, y ahora, en la tercera revolución energética, necesitamos urgentemente vectores de almacenamiento abundantes y baratos. El hidrógeno es uno de los más populares.
El hidrógeno verde permite almacenar energía capturada directamente del sol mediante celdas fotovoltaicas o del viento mediante turbinas eólicas. Como explicaba en un artículo anterior, lo necesitamos para reducir las emisiones de CO₂.
Tenemos todo el hidrógeno que podamos imaginar en el agua del mar. Y obtenerlo sería realmente barato… si no existiese la ley más universal y básica de la física: la segunda ley de la termodinámica dice que conseguir energía concentrada es siempre difícil.

Esquema de un experimento para obtener hidrógeno utilizando una pila unida a dos lápices cuyas minas de grafito actúan como los electrodos. Author provided
Para conseguir hidrógeno, solo hace falta una pila de linterna, un par de cables y un par de lápices, como se ve en la figura que acompaña a este párrafo. Si en vez de una pila de linterna, tenemos una placa fotovoltaica o un molino de viento, podemos conseguir hidrógeno en cantidades industriales. ¿Dónde está el problema?
Es muy fácil combinar el hidrógeno y el oxígeno (quemar hidrógeno) para obtener energía: 33,33 kWh por kilogramo de hidrógeno. Es decir, la energía que precisa una cocina de 1 kW funcionando 33,33 horas, o la de un coche de 66 kW marchando a toda potencia una media hora.
Separar el hidrógeno del oxígeno (es decir, romper el agua) exige una energía similar, pero es muy difícil conseguir la rotura de la molécula de agua. Para lograrlo, las plantas hacen la fotosíntesis, uno de los procesos bioquímicos más complejos de la naturaleza. Y nosotros lo hacemos con electricidad.
La electricidad en el agua provoca la rotura de la molécula de agua, pero solo en los electrodos (las minas de los lápices en nuestro experimento) y muy lentamente.
La velocidad teórica de producción de hidrógeno en una cuba electrolítica con unas láminas (cátodo y ánodo) de 1 m² de superficie y unos 2 000 A/m² de densidad de corriente introducidas en el agua es de 72 g/h. Por tanto, en 6 horas se producirían 432 g o 14.4 kWh.
En el caso de utilizar energía solar, si consideramos una eficiencia del 100 % en la conversión de electricidad a hidrógeno y una producción de 1,2 kWh/m² en las 6 horas de sol que funciona una placa fotovoltaica de 1 m², necesitaríamos 12 placas para producir esos 432 g de hidrógeno verde.
Para producir hidrógeno, las moléculas de agua se disponen sobre la superficie de los catalizadores en los electrodos de un electrolizador o pila. Los catalizadores se componen de metales como el platino y óxidos de níquel. Las interacciones de los electrones de estos metales con las moléculas individuales de agua en esas superficies consiguen romper los fuertes enlaces entre el hidrógeno y el oxígeno.
Hay muchas investigaciones sobre muy diversos procesos y catalizadores posibles, pero son dos las tecnologías más empleadas en la actualidad y que con más probabilidad emplearemos hasta el 2050: las pilas o células alcalinas (de agua salada generalmente) y las pilas basada en una membrana polimérica (PEM) de intercambio de protones (hidrógeno ionizado) en un ambiente ácido.
Pilas alcalinas
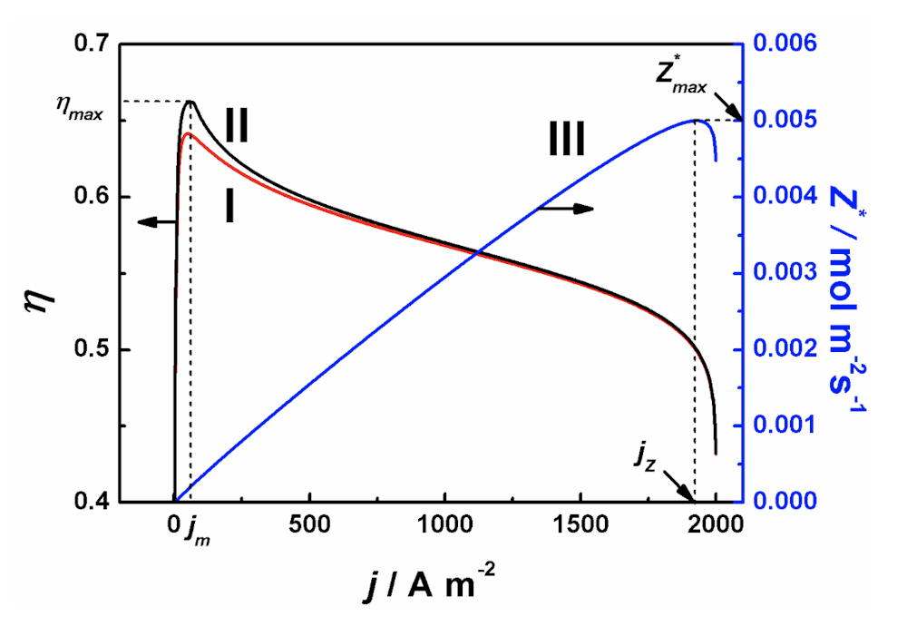
El caso alcalino es el más barato, pues los catalizadores pueden ser de níquel o cobalto. Su eficiencia en la conversión de electricidad en hidrógeno sigue la curva en negro de la gráfica que sigue a estas líneas.

Gráfica que muestra la eficiencia de producción de hidrógeno (eje y) en función de la densidad de corriente (eje x). La función Z es el producto de la eficiencia por la productividad y marca la cantidad de hidrógeno (en la unidad química moles) por metro cuadrado de lámina de electrodo y segundo. Author provided (no reuse)
Si queremos eficiencias superiores al 50 %, necesitamos corrientes inferiores 2 000 amperios por metro cuadrado (A/m²). Puesto que las mayores eficiencias implican menores corrientes en los electrodos, una mayor eficiencia implica una velocidad de producción menor.
Según una fórmula de Faraday, la velocidad de producción de hidrógeno (en moles) es igual a la corriente eléctrica por metro cuadrado de placa catalizadora, multiplicada por la superficie de la placa en metros cuadrados, y dividida por dos por la constante de Faraday. Es el cálculo necesario para calcular la productividad en moles por segundo.
El equilibrio entre eficiencia y productividad se alcanza para 1 950 A/m² con una eficiencia de alrededor del 52 %.
Pilas de membrana polimérica
En el caso de la membrana polimérica, el medio donde están los electrodos es ácido, y los catalizadores deben ser por tanto metales nobles, que resistan los ácidos, y más caros, como el platino, el iridio y el titanio. En este caso el rendimiento estándar es del 60 %.
Recientemente se ha propuesto otra tecnología: la electrólisis de alto rendimiento, un sistema capilar cuyos descubridores dicen que puede llegar al 90 % de rendimiento, pero está en fase de laboratorio, lejos aún del uso industrial.
Una placa fotovoltaica de un metro cuadrado produce más o menos 5 amperios a unos 40 voltios, es decir, una potencia de 0.2 kW por hora. En 6 horas produce 1.2 kWh. Si transformamos el voltaje a 1.30 voltios (el mínimo para la electrólisis), la corriente sube a 153 amperios. Las 12 placas fotovoltaicas de un metro cuadrado mencionadas arriba generarían 1 950 A/m². Esto, en teoría.
Si vamos al laboratorio, un trabajo muy concienzudo, y representativo de otros muchos, fue realizado por Gül y Akyüz de la Universidad de Balikesir (Turquía) en 2020. En su estudio obtuvieron 4,5 kg de hidrógeno al año utilizando dos placas fotovoltaicas de 0,2 kw de potencia cada una. A lo largo del año la energía eléctrica producida por las placas fue de 557 kWh, bastante menor que la energía posible si las placas hubiesen funcionado con 0,2 kw 6 horas al día 365 días al año. Los 4,5 kg de H₂ servirían para producir 150 kWh de energía. El rendimiento en el laboratorio es así del 27 %, más o menos la mitad del rendimiento teórico.
Este rendimiento se podrá mejorar, pero poco, pues los catalizadores son los que son, y los procesos tanto fotovoltaicos como de electrolisis son complejos. Los procesos industriales son siempre muchísimo menos eficientes que los realizados en el laboratorio y, por tanto, que los procesos teóricos. La realidad no es nunca ideal.
En cuanto a los precios, oscilan en la actualidad entre los 2 y los 5 euros por kg de hidrógeno bajo electrolisis. El precio del kWh obtenido del hidrógeno es de 0.06 euros, mientras que el de la gasolina o el gasóleo a la salida de la refinería es de 0.03 euros. Si el coste del hidrógeno bajase a 1 euro por kg, su precio equivaldría al de la gasolina.
En España, por ejemplo, empleamos anualmente 400 TWh de energía para el transporte. Esto equivale a 12 000 millones de kg de hidrógeno, para lo que se necesitarían 5 300 millones de placas en el caso de un rendimiento del 27 %, o 2 650 millones en el caso de un 54 % de rendimiento. Es decir, 2 650 km² de placas. Recordemos que la comunidad autónoma de La Rioja tiene 5 000 km².
España tiene una superficie de unos 500 000 km². Una gran proporción de esta superficie son terrenos desérticos o casi desérticos. Instalar todas esas placas es factible. Lo que se necesita es la decisión empresarial y política para hacerlo, con plazos concretos, créditos y garantías judiciales sobre las ganancias de las inversiones para conseguirlo.
De momento todo es aún utópico. Pero no tenemos tiempo para dejar las cosas para más adelante. Nos jugamos, no nuestra vida, pero si nuestra forma de vida, nuestra cultura.
7 diciembre 2022
Fuente: The Conversation (https://bit.ly/3YfaAWe)
Mingaservice ofrece a sus clientes soluciones ingeniosas, eficientes y efectivas para las industrias: minera, geológica, petrolera, ambiental y social.
Somos una empresa con valores de responsabilidad socio-ambiental frente a nuestros clientes y sus colaboradores directos e indirectos.